Familia: Verbenaceae
Nombre científico: Clerodendrum molle Kunth
Nombre común: Rodilla de caballo
Sitio específico: Espacio Verde ABG. en Santa Cruz
Zona: Árida
Sustrato: Rocoso-arcilloso
Proyecto: Restauración ecológica / Restauración urbana
Tratamiento: Control
Fecha de siembra: 16/05/2015



Ubicación de la planta en el mapa
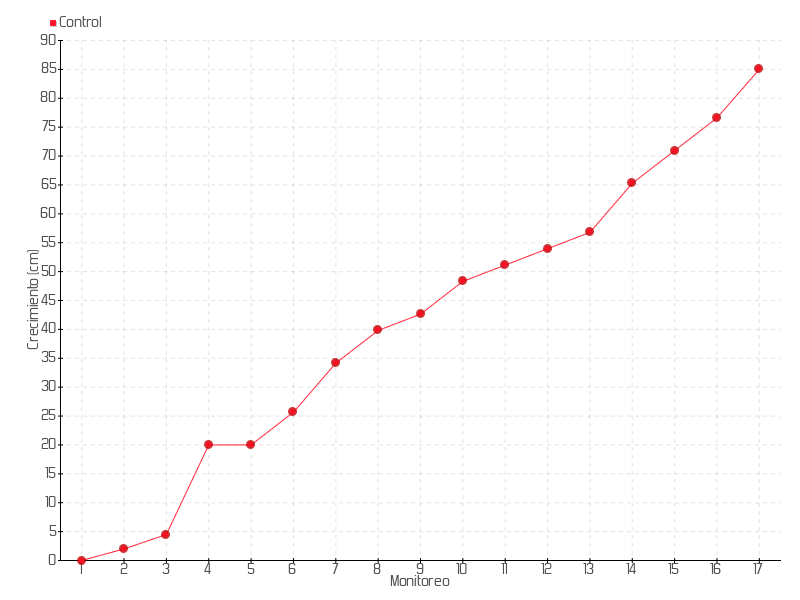
Resultados de monitoreo por Crecimiento
Monitoreos:
Monitoreo | Fecha | Altura | Crecimiento | Tasa de crecimiento | Crecimiento total |
---|---|---|---|---|---|
1 | 16/05/2015 | 19.00 cm | 0.00 cm | 0.0000 cm/día | 0.00 cm |
2 | 02/06/2015 | 21.00 cm | 2.00 cm | 0.1176 cm/día | 2.00 cm |
3 | 17/07/2015 | 23.50 cm | 2.50 cm | 0.0556 cm/día | 4.50 cm |
4 | 07/09/2015 | 39.00 cm | 15.50 cm | 0.2981 cm/día | 20.00 cm |
5 | 22/09/2015 | 39.00 cm | 0.00 cm | 0.0000 cm/día | 20.00 cm |
6 | 19/11/2015 | 44.66 cm | 5.66 cm | 0.0976 cm/día | 25.66 cm |
7 | 23/02/2016 | 53.15 cm | 8.49 cm | 0.0884 cm/día | 34.15 cm |
8 | 06/04/2016 | 58.81 cm | 5.66 cm | 0.1316 cm/día | 39.81 cm |
9 | 10/05/2016 | 61.64 cm | 2.83 cm | 0.0832 cm/día | 42.64 cm |
10 | 01/07/2016 | 67.30 cm | 5.66 cm | 0.1088 cm/día | 48.30 cm |
11 | 09/08/2016 | 70.13 cm | 2.83 cm | 0.0726 cm/día | 51.13 cm |
12 | 16/09/2016 | 72.96 cm | 2.83 cm | 0.0745 cm/día | 53.96 cm |
13 | 28/10/2016 | 75.79 cm | 2.83 cm | 0.0674 cm/día | 56.79 cm |
14 | 09/01/2017 | 84.28 cm | 8.49 cm | 0.1163 cm/día | 65.28 cm |
15 | 21/03/2017 | 89.94 cm | 5.66 cm | 0.0797 cm/día | 70.94 cm |
16 | 25/05/2017 | 95.60 cm | 5.66 cm | 0.0871 cm/día | 76.60 cm |
17 | 09/08/2017 | 104.00 cm | 8.40 cm | 0.1105 cm/día | 85.00 cm |
Imágenes tomadas en los monitoreos:
Proyecto:
Donantes:
Socios estratégicos:


Socios estratégicos:

