Familia: Solanaceae
Nombre científico: Solanum lycopersicum L.
Nombre común: Tomate riñón, tomatera, jitomate
Sitio específico: Finca Francisco Moreno en Floreana
Zona: Húmeda
Sustrato: Humífero
Proyecto: Prácticas Agrícolas Sostenibles / Agricultura
Tratamiento: Waterboxx®
Control: 4108
Fecha de siembra: 29/10/2015



Ubicación de la planta en el mapa
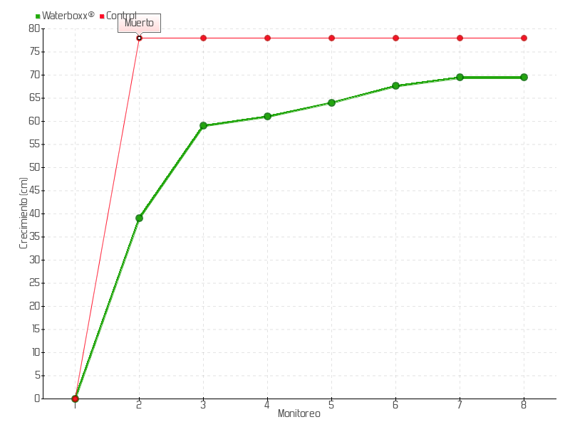
Resultados de monitoreo por Crecimiento
Resultados de monitoreo por Tasa de crecimiento
Monitoreos:
Monitoreo | Fecha | Altura | Crecimiento | Tasa de crecimiento | Crecimiento total |
---|---|---|---|---|---|
1 | 29/10/2015 | 4.00 cm | 0.00 cm | 0.0000 cm/día | 0.00 cm |
2 | 19/12/2015 | 43.00 cm | 39.00 cm | 0.7647 cm/día | 39.00 cm |
3 | 18/01/2016 | 63.00 cm | 20.00 cm | 0.6667 cm/día | 59.00 cm |
4 | 24/03/2016 | 65.00 cm | 2.00 cm | 0.0303 cm/día | 61.00 cm |
5 | 24/05/2016 | 68.00 cm | 3.00 cm | 0.0492 cm/día | 64.00 cm |
6 | 19/07/2016 | 71.60 cm | 3.60 cm | 0.0643 cm/día | 67.60 cm |
7 | 30/08/2016 | 73.40 cm | 1.80 cm | 0.0429 cm/día | 69.40 cm |
8 | 04/05/2017 | 73.40 cm | 0.00 cm | 0.0000 cm/día | 69.40 cm |
Imágenes tomadas en los monitoreos:
Proyecto:
Donantes:
Socios estratégicos:


Socios estratégicos:

