Familia: Euphorbiaceae
Nombre científico: Croton scouleri var. scouleri Hook. f.
Nombre común: Chala, mosquera
Sitio específico: Finca de Mick en Santa Cruz
Zona: Transición
Sustrato: Rocoso-arcilloso
Proyecto: Restauración ecológica / Restauración rural
Tratamiento: Control
Fecha de siembra: 21/09/2018



Ubicación de la planta en el mapa
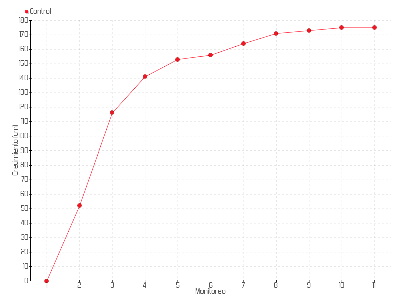
Resultados de monitoreo por Crecimiento
Monitoreos:
Monitoreo | Fecha | Altura | Crecimiento | Tasa de crecimiento | Crecimiento total |
---|---|---|---|---|---|
1 | 21/09/2018 | 50.00 cm | 0.00 cm | 0.0000 cm/día | 0.00 cm |
2 | 18/03/2019 | 102.00 cm | 52.00 cm | 0.2921 cm/día | 52.00 cm |
3 | 10/07/2019 | 166.00 cm | 64.00 cm | 0.5614 cm/día | 116.00 cm |
4 | 24/09/2019 | 191.00 cm | 25.00 cm | 0.3289 cm/día | 141.00 cm |
5 | 12/02/2020 | 203.00 cm | 12.00 cm | 0.0851 cm/día | 153.00 cm |
6 | 13/05/2020 | 206.00 cm | 3.00 cm | 0.0330 cm/día | 156.00 cm |
7 | 06/11/2020 | 214.00 cm | 8.00 cm | 0.0452 cm/día | 164.00 cm |
8 | 30/12/2020 | 221.00 cm | 7.00 cm | 0.1296 cm/día | 171.00 cm |
9 | 03/02/2021 | 223.00 cm | 2.00 cm | 0.0571 cm/día | 173.00 cm |
10 | 24/02/2021 | 225.00 cm | 2.00 cm | 0.0952 cm/día | 175.00 cm |
11 | 11/01/2022 | 225.00 cm | 0.00 cm | 0.0000 cm/día | 175.00 cm |
Imágenes tomadas en los monitoreos:
Proyecto:
Donantes:
Socios estratégicos:


Socios estratégicos:

