Familia: Malvaceae
Nombre científico: Gossypium darwinii G. Watt
Nombre común: Algodoncillo, algodón de Darwin
Sitio específico: Espacio Verde ABG. en Santa Cruz
Zona: Árida
Sustrato: Humífero-arcilloso
Proyecto: Restauración ecológica / Restauración urbana
Tratamiento: Control
Fecha de siembra: 13/11/2015
Ubicación de la planta en el mapa
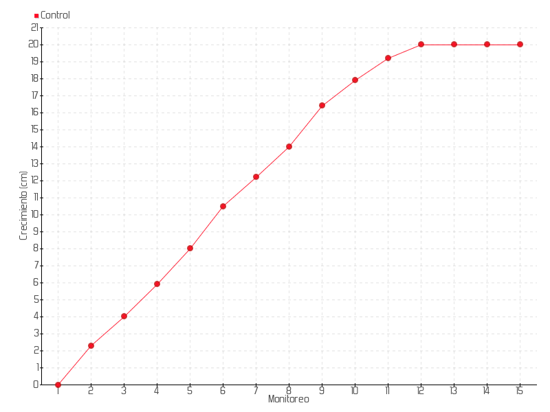
Resultados de monitoreo por Crecimiento
Monitoreos:
| Monitoreo | Fecha | Altura | Crecimiento | Tasa de crecimiento | Crecimiento total |
|---|---|---|---|---|---|
| 1 | 13/11/2015 | 50.00 cm | 0.00 cm | 0.0000 cm/día | 0.00 cm |
| 2 | 23/02/2016 | 52.30 cm | 2.30 cm | 0.0225 cm/día | 2.30 cm |
| 3 | 06/04/2016 | 54.00 cm | 1.70 cm | 0.0395 cm/día | 4.00 cm |
| 4 | 10/05/2016 | 55.90 cm | 1.90 cm | 0.0559 cm/día | 5.90 cm |
| 5 | 01/07/2016 | 58.00 cm | 2.10 cm | 0.0404 cm/día | 8.00 cm |
| 6 | 09/08/2016 | 60.50 cm | 2.50 cm | 0.0641 cm/día | 10.50 cm |
| 7 | 16/09/2016 | 62.20 cm | 1.70 cm | 0.0447 cm/día | 12.20 cm |
| 8 | 28/10/2016 | 64.00 cm | 1.80 cm | 0.0429 cm/día | 14.00 cm |
| 9 | 09/01/2017 | 66.40 cm | 2.40 cm | 0.0329 cm/día | 16.40 cm |
| 10 | 21/03/2017 | 67.90 cm | 1.50 cm | 0.0211 cm/día | 17.90 cm |
| 11 | 22/05/2017 | 69.20 cm | 1.30 cm | 0.0210 cm/día | 19.20 cm |
| 12 | 09/08/2017 | 70.00 cm | 0.80 cm | 0.0101 cm/día | 20.00 cm |
| 13 | 20/09/2017 | 70.00 cm | 0.00 cm | 0.0000 cm/día | 20.00 cm |
| 14 | 12/12/2017 | 70.00 cm | 0.00 cm | 0.0000 cm/día | 20.00 cm |
| 15 | 26/03/2018 | 70.00 cm | 0.00 cm | 0.0000 cm/día | 20.00 cm |
Imágenes tomadas en los monitoreos:
Proyecto:
Donantes:
Socios estratégicos:
Donantes:
Socios estratégicos:



Exportar este reporte a PDF