Familia: Malvaceae
Nombre científico: Gossypium darwinii G. Watt
Nombre común: Algodoncillo, algodón de Darwin
Sitio específico: Espacio Verde ABG. en Santa Cruz
Zona: Árida
Sustrato: Humífero-arcilloso
Proyecto: Restauración ecológica / Restauración urbana
Tratamiento: Control
Fecha de siembra: 13/11/2015
Ubicación de la planta en el mapa
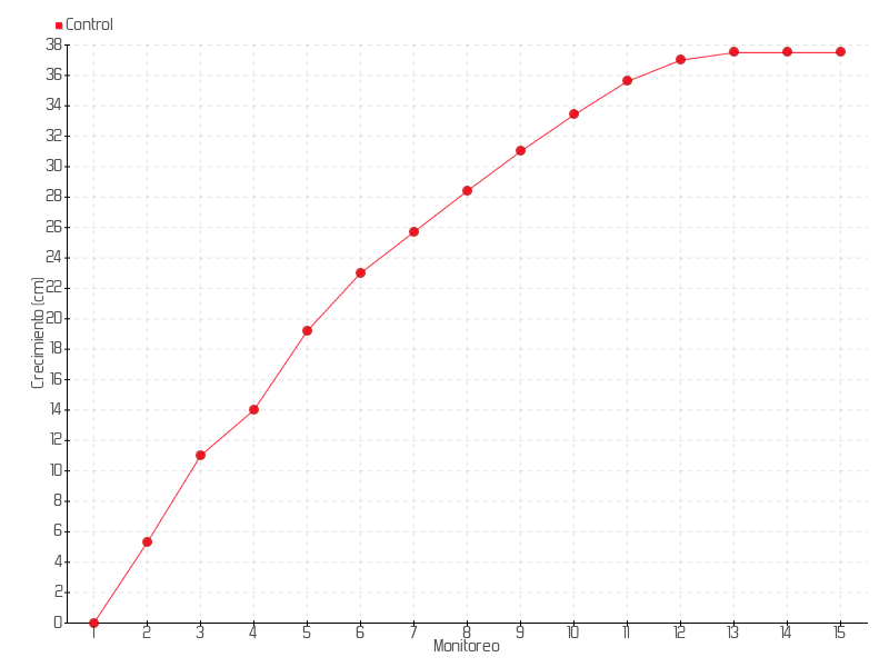
Resultados de monitoreo por Crecimiento
Monitoreos:
| Monitoreo | Fecha | Altura | Crecimiento | Tasa de crecimiento | Crecimiento total |
|---|---|---|---|---|---|
| 1 | 13/11/2015 | 10.00 cm | 0.00 cm | 0.0000 cm/día | 0.00 cm |
| 2 | 23/02/2016 | 15.30 cm | 5.30 cm | 0.0520 cm/día | 5.30 cm |
| 3 | 06/04/2016 | 21.00 cm | 5.70 cm | 0.1326 cm/día | 11.00 cm |
| 4 | 10/05/2016 | 24.00 cm | 3.00 cm | 0.0882 cm/día | 14.00 cm |
| 5 | 01/07/2016 | 29.20 cm | 5.20 cm | 0.1000 cm/día | 19.20 cm |
| 6 | 09/08/2016 | 33.00 cm | 3.80 cm | 0.0974 cm/día | 23.00 cm |
| 7 | 16/09/2016 | 35.70 cm | 2.70 cm | 0.0711 cm/día | 25.70 cm |
| 8 | 28/10/2016 | 38.40 cm | 2.70 cm | 0.0643 cm/día | 28.40 cm |
| 9 | 09/01/2017 | 41.00 cm | 2.60 cm | 0.0356 cm/día | 31.00 cm |
| 10 | 21/03/2017 | 43.40 cm | 2.40 cm | 0.0338 cm/día | 33.40 cm |
| 11 | 22/05/2017 | 45.60 cm | 2.20 cm | 0.0355 cm/día | 35.60 cm |
| 12 | 09/08/2017 | 47.00 cm | 1.40 cm | 0.0177 cm/día | 37.00 cm |
| 13 | 20/09/2017 | 47.50 cm | 0.50 cm | 0.0119 cm/día | 37.50 cm |
| 14 | 12/12/2017 | 47.50 cm | 0.00 cm | 0.0000 cm/día | 37.50 cm |
| 15 | 26/03/2018 | 47.50 cm | 0.00 cm | 0.0000 cm/día | 37.50 cm |
Imágenes tomadas en los monitoreos:
Proyecto:
Donantes:
Socios estratégicos:
Donantes:
Socios estratégicos:



Exportar este reporte a PDF