Familia: Malvaceae
Nombre científico: Gossypium darwinii G. Watt
Nombre común: Algodoncillo, algodón de Darwin
Sitio específico: Espacio Verde ABG. en Santa Cruz
Zona: Árida
Sustrato: Humífero-arcilloso
Proyecto: Restauración ecológica / Restauración urbana
Tratamiento: Control
Fecha de siembra: 13/11/2015
Ubicación de la planta en el mapa
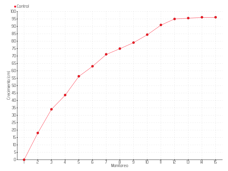
Resultados de monitoreo por Crecimiento
Monitoreos:
| Monitoreo | Fecha | Altura | Crecimiento | Tasa de crecimiento | Crecimiento total |
|---|---|---|---|---|---|
| 1 | 13/11/2015 | 53.00 cm | 0.00 cm | 0.0000 cm/día | 0.00 cm |
| 2 | 23/02/2016 | 71.00 cm | 18.00 cm | 0.1765 cm/día | 18.00 cm |
| 3 | 06/04/2016 | 87.00 cm | 16.00 cm | 0.3721 cm/día | 34.00 cm |
| 4 | 10/05/2016 | 96.50 cm | 9.50 cm | 0.2794 cm/día | 43.50 cm |
| 5 | 01/07/2016 | 109.20 cm | 12.70 cm | 0.2442 cm/día | 56.20 cm |
| 6 | 09/08/2016 | 116.00 cm | 6.80 cm | 0.1744 cm/día | 63.00 cm |
| 7 | 16/09/2016 | 124.00 cm | 8.00 cm | 0.2105 cm/día | 71.00 cm |
| 8 | 28/10/2016 | 127.90 cm | 3.90 cm | 0.0929 cm/día | 74.90 cm |
| 9 | 09/01/2017 | 132.00 cm | 4.10 cm | 0.0562 cm/día | 79.00 cm |
| 10 | 21/03/2017 | 137.30 cm | 5.30 cm | 0.0746 cm/día | 84.30 cm |
| 11 | 22/05/2017 | 143.80 cm | 6.50 cm | 0.1048 cm/día | 90.80 cm |
| 12 | 09/08/2017 | 148.00 cm | 4.20 cm | 0.0532 cm/día | 95.00 cm |
| 13 | 20/09/2017 | 148.50 cm | 0.50 cm | 0.0119 cm/día | 95.50 cm |
| 14 | 12/12/2017 | 149.00 cm | 0.50 cm | 0.0060 cm/día | 96.00 cm |
| 15 | 26/03/2018 | 149.00 cm | 0.00 cm | 0.0000 cm/día | 96.00 cm |
Imágenes tomadas en los monitoreos:
Proyecto:
Donantes:
Socios estratégicos:
Donantes:
Socios estratégicos:



Exportar este reporte a PDF