Family: Simaroubaceae
Scientific name: Castela galapageia Hook. f.
Common name: Bitterbush, Castela
Specific site: Old Garbage Dump in Baltra
Zone: Árida
Substratum: Rocoso-arcilloso
Project: Restauración ecológica / Natural restoration
Treatment: Control
Date of sown: 17/06/2013



Plant location on the map
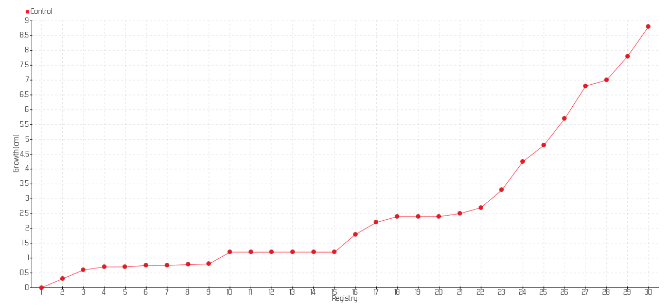
Registry results by Growth
Registries:
Registry | Date | Height | Growth | Growth rate | Total growth |
---|---|---|---|---|---|
1 | 17/06/2013 | 6.20 cm | 0.00 cm | 0.0000 cm/day | 0.00 cm |
2 | 01/07/2013 | 6.50 cm | 0.30 cm | 0.0214 cm/day | 0.30 cm |
3 | 08/07/2013 | 6.80 cm | 0.30 cm | 0.0429 cm/day | 0.60 cm |
4 | 15/07/2013 | 6.90 cm | 0.10 cm | 0.0143 cm/day | 0.70 cm |
5 | 22/07/2013 | 6.90 cm | 0.00 cm | 0.0000 cm/day | 0.70 cm |
6 | 29/07/2013 | 6.95 cm | 0.05 cm | 0.0071 cm/day | 0.75 cm |
7 | 05/08/2013 | 6.95 cm | 0.00 cm | 0.0000 cm/day | 0.75 cm |
8 | 12/08/2013 | 6.98 cm | 0.03 cm | 0.0043 cm/day | 0.78 cm |
9 | 19/08/2013 | 7.00 cm | 0.02 cm | 0.0029 cm/day | 0.80 cm |
10 | 26/08/2013 | 7.40 cm | 0.40 cm | 0.0571 cm/day | 1.20 cm |
11 | 02/09/2013 | 7.40 cm | 0.00 cm | 0.0000 cm/day | 1.20 cm |
12 | 09/09/2013 | 7.40 cm | 0.00 cm | 0.0000 cm/day | 1.20 cm |
13 | 16/09/2013 | 7.40 cm | 0.00 cm | 0.0000 cm/day | 1.20 cm |
14 | 23/09/2013 | 7.40 cm | 0.00 cm | 0.0000 cm/day | 1.20 cm |
15 | 30/09/2013 | 7.40 cm | 0.00 cm | 0.0000 cm/day | 1.20 cm |
16 | 07/10/2013 | 8.00 cm | 0.60 cm | 0.0857 cm/day | 1.80 cm |
17 | 14/10/2013 | 8.40 cm | 0.40 cm | 0.0571 cm/day | 2.20 cm |
18 | 21/10/2013 | 8.60 cm | 0.20 cm | 0.0286 cm/day | 2.40 cm |
19 | 28/10/2013 | 8.60 cm | 0.00 cm | 0.0000 cm/day | 2.40 cm |
20 | 04/11/2013 | 8.60 cm | 0.00 cm | 0.0000 cm/day | 2.40 cm |
21 | 11/11/2013 | 8.70 cm | 0.10 cm | 0.0143 cm/day | 2.50 cm |
22 | 18/11/2013 | 8.90 cm | 0.20 cm | 0.0286 cm/day | 2.70 cm |
23 | 25/11/2013 | 9.50 cm | 0.60 cm | 0.0857 cm/day | 3.30 cm |
24 | 02/12/2013 | 10.45 cm | 0.95 cm | 0.1357 cm/day | 4.25 cm |
25 | 09/12/2013 | 11.00 cm | 0.55 cm | 0.0786 cm/day | 4.80 cm |
26 | 06/01/2014 | 11.90 cm | 0.90 cm | 0.0321 cm/day | 5.70 cm |
27 | 13/01/2014 | 13.00 cm | 1.10 cm | 0.1571 cm/day | 6.80 cm |
28 | 20/01/2014 | 13.20 cm | 0.20 cm | 0.0286 cm/day | 7.00 cm |
29 | 14/08/2015 | 14.00 cm | 0.80 cm | 0.0014 cm/day | 7.80 cm |
30 | 15/09/2015 | 15.00 cm | 1.00 cm | 0.0313 cm/day | 8.80 cm |
Project:
Donors:
Partners:


Partners:

