Family: Caesalpinaceae
Scientific name: Parkinsonia aculeata L.
Common name: Jerusalem thorn, parkinsonia
Specific site: Black Gravel Mine in Floreana
Zone: Transición
Substratum: Arenoso
Project: Restauración ecológica / Natural restoration
Treatment: Waterboxx®
Control: 1678
Date of sown: 13/08/2014



Plant location on the map
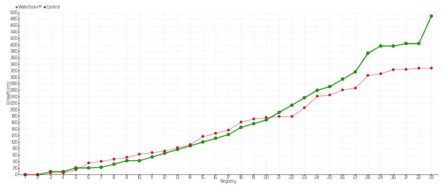
Registry results by Growth
Registry results by Growth rate
Registries:
Registry | Date | Height | Growth | Growth rate | Total growth |
---|---|---|---|---|---|
1 | 13/08/2014 | 11.00 cm | 0.00 cm | 0.0000 cm/day | 0.00 cm |
2 | 27/08/2014 | 11.00 cm | 0.00 cm | 0.0000 cm/day | 0.00 cm |
3 | 10/09/2014 | 20.00 cm | 9.00 cm | 0.6429 cm/day | 9.00 cm |
4 | 24/09/2014 | 20.00 cm | 0.00 cm | 0.0000 cm/day | 9.00 cm |
5 | 08/10/2014 | 31.41 cm | 11.41 cm | 0.8150 cm/day | 20.41 cm |
6 | 22/10/2014 | 31.41 cm | 0.00 cm | 0.0000 cm/day | 20.41 cm |
7 | 05/11/2014 | 34.00 cm | 2.59 cm | 0.1850 cm/day | 23.00 cm |
8 | 19/11/2014 | 42.82 cm | 8.82 cm | 0.6300 cm/day | 31.82 cm |
9 | 12/12/2014 | 54.23 cm | 11.41 cm | 0.4961 cm/day | 43.23 cm |
10 | 31/12/2014 | 54.23 cm | 0.00 cm | 0.0000 cm/day | 43.23 cm |
11 | 14/01/2015 | 65.64 cm | 11.41 cm | 0.8150 cm/day | 54.64 cm |
12 | 11/02/2015 | 77.06 cm | 11.42 cm | 0.4079 cm/day | 66.06 cm |
13 | 09/03/2015 | 88.47 cm | 11.41 cm | 0.4388 cm/day | 77.47 cm |
14 | 22/04/2015 | 99.88 cm | 11.41 cm | 0.2593 cm/day | 88.88 cm |
15 | 26/05/2015 | 111.29 cm | 11.41 cm | 0.3356 cm/day | 100.29 cm |
16 | 11/06/2015 | 122.71 cm | 11.42 cm | 0.7137 cm/day | 111.71 cm |
17 | 21/07/2015 | 134.12 cm | 11.41 cm | 0.2853 cm/day | 123.12 cm |
18 | 07/09/2015 | 156.94 cm | 22.82 cm | 0.4754 cm/day | 145.94 cm |
19 | 07/10/2015 | 168.35 cm | 11.41 cm | 0.3803 cm/day | 157.35 cm |
20 | 21/11/2015 | 179.76 cm | 11.41 cm | 0.2536 cm/day | 168.76 cm |
21 | 17/01/2016 | 202.59 cm | 22.83 cm | 0.4005 cm/day | 191.59 cm |
22 | 23/03/2016 | 225.41 cm | 22.82 cm | 0.3458 cm/day | 214.41 cm |
23 | 25/05/2016 | 248.24 cm | 22.83 cm | 0.3624 cm/day | 237.24 cm |
24 | 19/07/2016 | 271.06 cm | 22.82 cm | 0.4149 cm/day | 260.06 cm |
25 | 28/08/2016 | 282.47 cm | 11.41 cm | 0.2853 cm/day | 271.47 cm |
26 | 25/10/2016 | 305.29 cm | 22.82 cm | 0.3934 cm/day | 294.29 cm |
27 | 06/12/2016 | 328.12 cm | 22.83 cm | 0.5436 cm/day | 317.12 cm |
28 | 03/05/2017 | 385.18 cm | 57.06 cm | 0.3855 cm/day | 374.18 cm |
29 | 25/07/2017 | 408.00 cm | 22.82 cm | 0.2749 cm/day | 397.00 cm |
30 | 03/12/2017 | 408.00 cm | 0.00 cm | 0.0000 cm/day | 397.00 cm |
31 | 19/04/2018 | 415.00 cm | 7.00 cm | 0.0511 cm/day | 404.00 cm |
32 | 11/10/2018 | 415.00 cm | 0.00 cm | 0.0000 cm/day | 404.00 cm |
33 | 06/05/2019 | 500.00 cm | 85.00 cm | 0.4106 cm/day | 489.00 cm |
Images from registries:
Project:
Donors:
Partners:


Partners:

