Family: Sterculiaceae
Scientific name: Waltheria ovata Cav.
Common name: Waltheria
Specific site: Black Gravel Mine in Floreana
Zone: Árida
Substratum: Arenoso
Project: Restauración ecológica / Natural restoration
Treatment: Waterboxx®
Control: 17206
Date of sown: 21/03/2023



Plant location on the map
Registry results by Growth
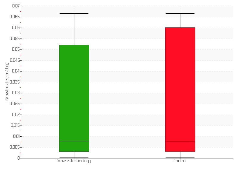
Registry results by Growth rate
Registries:
Registry | Date | Height | Growth | Growth rate | Total growth |
---|---|---|---|---|---|
1 | 21/03/2023 | 21.00 cm | 0.00 cm | 0.0000 cm/day | 0.00 cm |
2 | 05/04/2023 | 22.00 cm | 1.00 cm | 0.0667 cm/day | 1.00 cm |
3 | 26/07/2023 | 22.00 cm | 0.00 cm | 0.0000 cm/day | 1.00 cm |
4 | 07/12/2023 | 22.00 cm | 0.00 cm | 0.0000 cm/day | 1.00 cm |
5 | 07/06/2024 | 22.00 cm | 0.00 cm | 0.0000 cm/day | 1.00 cm |
6 | 08/04/2025 | 49.00 cm | 27.00 cm | 0.0885 cm/day | 28.00 cm |
Images from registries:
Project:
Donors:
Partners:


Partners:

