Family: Euphorbiaceae
Scientific name: Croton scouleri var. scouleri Hook. f.
Common name: -
Specific site: Garbage Dump in Floreana
Zone: Árida
Substratum: Arenoso
Project: Restauración ecológica / Natural restoration
Treatment: Control
Date of sown: 27/01/2015



Plant location on the map
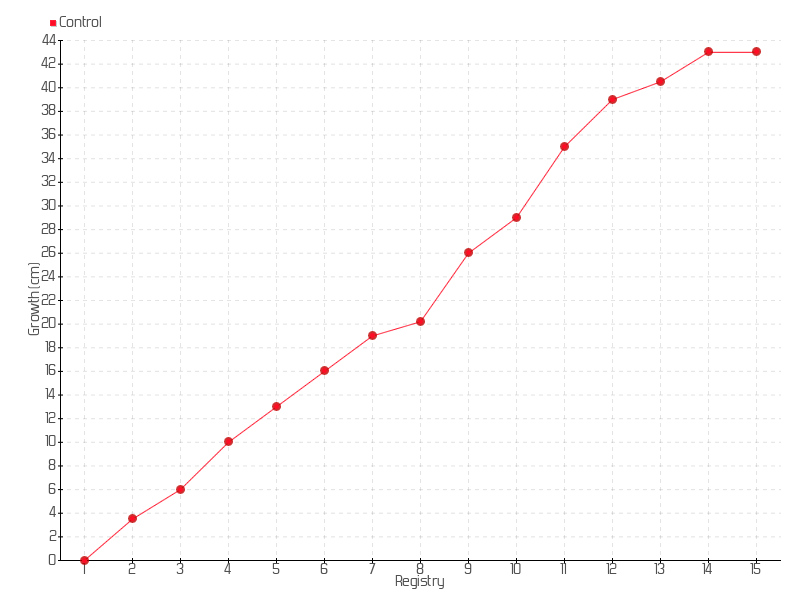
Registry results by Growth
Registries:
Registry | Date | Height | Growth | Growth rate | Total growth |
---|---|---|---|---|---|
1 | 16/01/2015 | 30.00 cm | 0.00 cm | 0.0000 cm/day | 0.00 cm |
2 | 11/02/2015 | 33.50 cm | 3.50 cm | 0.1346 cm/day | 3.50 cm |
3 | 09/03/2015 | 36.00 cm | 2.50 cm | 0.0962 cm/day | 6.00 cm |
4 | 13/05/2015 | 40.00 cm | 4.00 cm | 0.0615 cm/day | 10.00 cm |
5 | 09/06/2015 | 43.00 cm | 3.00 cm | 0.1111 cm/day | 13.00 cm |
6 | 21/07/2015 | 46.00 cm | 3.00 cm | 0.0714 cm/day | 16.00 cm |
7 | 02/09/2015 | 49.00 cm | 3.00 cm | 0.0698 cm/day | 19.00 cm |
8 | 08/10/2015 | 50.20 cm | 1.20 cm | 0.0333 cm/day | 20.20 cm |
9 | 21/11/2015 | 56.00 cm | 5.80 cm | 0.1318 cm/day | 26.00 cm |
10 | 19/01/2016 | 59.00 cm | 3.00 cm | 0.0508 cm/day | 29.00 cm |
11 | 25/05/2016 | 65.00 cm | 6.00 cm | 0.0472 cm/day | 35.00 cm |
12 | 19/07/2016 | 69.00 cm | 4.00 cm | 0.0727 cm/day | 39.00 cm |
13 | 25/10/2016 | 70.50 cm | 1.50 cm | 0.0153 cm/day | 40.50 cm |
14 | 06/12/2016 | 73.00 cm | 2.50 cm | 0.0595 cm/day | 43.00 cm |
15 | 03/05/2017 | 73.00 cm | 0.00 cm | 0.0000 cm/day | 43.00 cm |
Images from registries:
Project:
Donors:
Partners:


Partners:

