Family: Verbenaceae
Scientific name: Clerodendrum molle Kunth
Common name: Glorybower
Specific site: Green Space ABG in Santa Cruz
Zone: Árida
Substratum: Rocoso-arcilloso
Project: Restauración ecológica / Urban restoration
Treatment: Control
Date of sown: 16/05/2015



Plant location on the map
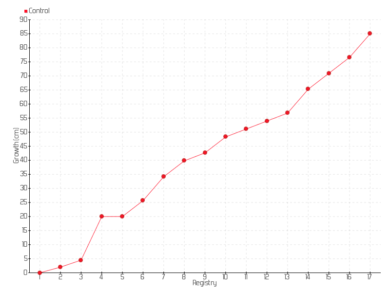
Registry results by Growth
Registries:
Registry | Date | Height | Growth | Growth rate | Total growth |
---|---|---|---|---|---|
1 | 16/05/2015 | 19.00 cm | 0.00 cm | 0.0000 cm/day | 0.00 cm |
2 | 02/06/2015 | 21.00 cm | 2.00 cm | 0.1176 cm/day | 2.00 cm |
3 | 17/07/2015 | 23.50 cm | 2.50 cm | 0.0556 cm/day | 4.50 cm |
4 | 07/09/2015 | 39.00 cm | 15.50 cm | 0.2981 cm/day | 20.00 cm |
5 | 22/09/2015 | 39.00 cm | 0.00 cm | 0.0000 cm/day | 20.00 cm |
6 | 19/11/2015 | 44.66 cm | 5.66 cm | 0.0976 cm/day | 25.66 cm |
7 | 23/02/2016 | 53.15 cm | 8.49 cm | 0.0884 cm/day | 34.15 cm |
8 | 06/04/2016 | 58.81 cm | 5.66 cm | 0.1316 cm/day | 39.81 cm |
9 | 10/05/2016 | 61.64 cm | 2.83 cm | 0.0832 cm/day | 42.64 cm |
10 | 01/07/2016 | 67.30 cm | 5.66 cm | 0.1088 cm/day | 48.30 cm |
11 | 09/08/2016 | 70.13 cm | 2.83 cm | 0.0726 cm/day | 51.13 cm |
12 | 16/09/2016 | 72.96 cm | 2.83 cm | 0.0745 cm/day | 53.96 cm |
13 | 28/10/2016 | 75.79 cm | 2.83 cm | 0.0674 cm/day | 56.79 cm |
14 | 09/01/2017 | 84.28 cm | 8.49 cm | 0.1163 cm/day | 65.28 cm |
15 | 21/03/2017 | 89.94 cm | 5.66 cm | 0.0797 cm/day | 70.94 cm |
16 | 25/05/2017 | 95.60 cm | 5.66 cm | 0.0871 cm/day | 76.60 cm |
17 | 09/08/2017 | 104.00 cm | 8.40 cm | 0.1105 cm/day | 85.00 cm |
Images from registries:
Project:
Donors:
Partners:


Partners:

