Family: Solanaceae
Scientific name: Solanum lycopersicum L.
Common name: Tomato, garden tomato
Specific site: Francisco Moreno Estate in Floreana
Zone: Húmeda
Substratum: Humífero
Project: Sustainable Agricultural Practices / Agricultura
Treatment: Waterboxx®
Control: 4108
Date of sown: 29/10/2015



Plant location on the map
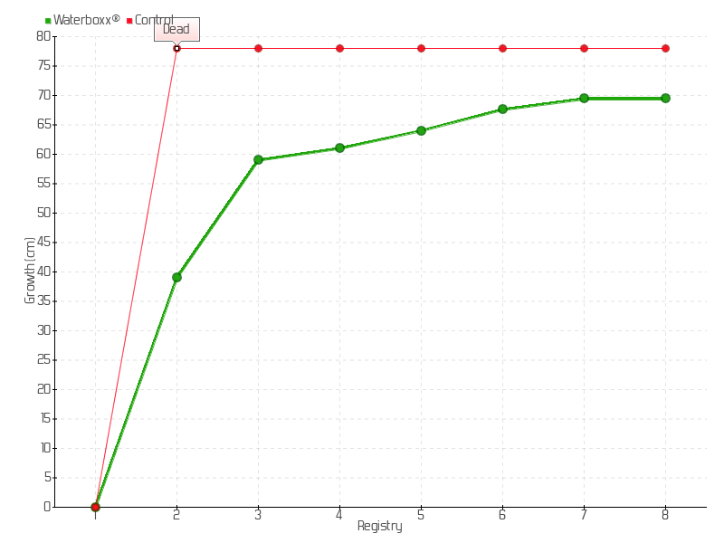
Registry results by Growth
Registry results by Growth rate
Registries:
Registry | Date | Height | Growth | Growth rate | Total growth |
---|---|---|---|---|---|
1 | 29/10/2015 | 4.00 cm | 0.00 cm | 0.0000 cm/day | 0.00 cm |
2 | 19/12/2015 | 43.00 cm | 39.00 cm | 0.7647 cm/day | 39.00 cm |
3 | 18/01/2016 | 63.00 cm | 20.00 cm | 0.6667 cm/day | 59.00 cm |
4 | 24/03/2016 | 65.00 cm | 2.00 cm | 0.0303 cm/day | 61.00 cm |
5 | 24/05/2016 | 68.00 cm | 3.00 cm | 0.0492 cm/day | 64.00 cm |
6 | 19/07/2016 | 71.60 cm | 3.60 cm | 0.0643 cm/day | 67.60 cm |
7 | 30/08/2016 | 73.40 cm | 1.80 cm | 0.0429 cm/day | 69.40 cm |
8 | 04/05/2017 | 73.40 cm | 0.00 cm | 0.0000 cm/day | 69.40 cm |
Images from registries:
Project:
Donors:
Partners:


Partners:

