Family: Malvaceae
Scientific name: Gossypium darwinii G. Watt
Common name: Darwin´s cotton
Specific site: Green Space ABG in Santa Cruz
Zone: Árida
Substratum: Humífero-arcilloso
Project: Restauración ecológica / Urban restoration
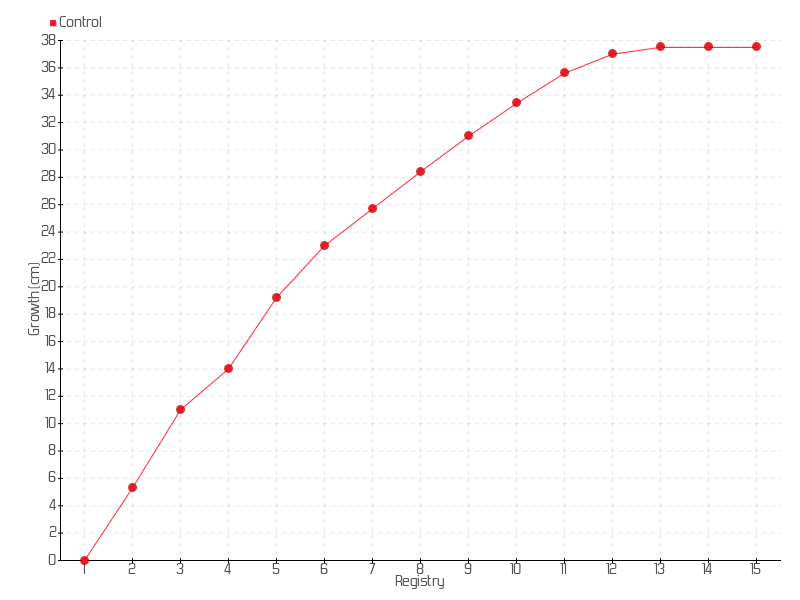
Treatment: Control
Date of sown: 13/11/2015



Plant location on the map
Registry results by Growth
Registries:
Registry | Date | Height | Growth | Growth rate | Total growth |
---|---|---|---|---|---|
1 | 13/11/2015 | 10.00 cm | 0.00 cm | 0.0000 cm/day | 0.00 cm |
2 | 23/02/2016 | 15.30 cm | 5.30 cm | 0.0520 cm/day | 5.30 cm |
3 | 06/04/2016 | 21.00 cm | 5.70 cm | 0.1326 cm/day | 11.00 cm |
4 | 10/05/2016 | 24.00 cm | 3.00 cm | 0.0882 cm/day | 14.00 cm |
5 | 01/07/2016 | 29.20 cm | 5.20 cm | 0.1000 cm/day | 19.20 cm |
6 | 09/08/2016 | 33.00 cm | 3.80 cm | 0.0974 cm/day | 23.00 cm |
7 | 16/09/2016 | 35.70 cm | 2.70 cm | 0.0711 cm/day | 25.70 cm |
8 | 28/10/2016 | 38.40 cm | 2.70 cm | 0.0643 cm/day | 28.40 cm |
9 | 09/01/2017 | 41.00 cm | 2.60 cm | 0.0356 cm/day | 31.00 cm |
10 | 21/03/2017 | 43.40 cm | 2.40 cm | 0.0338 cm/day | 33.40 cm |
11 | 22/05/2017 | 45.60 cm | 2.20 cm | 0.0355 cm/day | 35.60 cm |
12 | 09/08/2017 | 47.00 cm | 1.40 cm | 0.0177 cm/day | 37.00 cm |
13 | 20/09/2017 | 47.50 cm | 0.50 cm | 0.0119 cm/day | 37.50 cm |
14 | 12/12/2017 | 47.50 cm | 0.00 cm | 0.0000 cm/day | 37.50 cm |
15 | 26/03/2018 | 47.50 cm | 0.00 cm | 0.0000 cm/day | 37.50 cm |
Images from registries:
Project:
Donors:
Partners:


Partners:

