Family: Malvaceae
Scientific name: Gossypium darwinii G. Watt
Common name: Darwin´s cotton
Specific site: Green Space ABG in Santa Cruz
Zone: Árida
Substratum: Humífero-arcilloso
Project: Restauración ecológica / Urban restoration
Treatment: Control
Date of sown: 13/11/2015



Plant location on the map
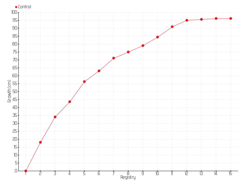
Registry results by Growth
Registries:
Registry | Date | Height | Growth | Growth rate | Total growth |
---|---|---|---|---|---|
1 | 13/11/2015 | 53.00 cm | 0.00 cm | 0.0000 cm/day | 0.00 cm |
2 | 23/02/2016 | 71.00 cm | 18.00 cm | 0.1765 cm/day | 18.00 cm |
3 | 06/04/2016 | 87.00 cm | 16.00 cm | 0.3721 cm/day | 34.00 cm |
4 | 10/05/2016 | 96.50 cm | 9.50 cm | 0.2794 cm/day | 43.50 cm |
5 | 01/07/2016 | 109.20 cm | 12.70 cm | 0.2442 cm/day | 56.20 cm |
6 | 09/08/2016 | 116.00 cm | 6.80 cm | 0.1744 cm/day | 63.00 cm |
7 | 16/09/2016 | 124.00 cm | 8.00 cm | 0.2105 cm/day | 71.00 cm |
8 | 28/10/2016 | 127.90 cm | 3.90 cm | 0.0929 cm/day | 74.90 cm |
9 | 09/01/2017 | 132.00 cm | 4.10 cm | 0.0562 cm/day | 79.00 cm |
10 | 21/03/2017 | 137.30 cm | 5.30 cm | 0.0746 cm/day | 84.30 cm |
11 | 22/05/2017 | 143.80 cm | 6.50 cm | 0.1048 cm/day | 90.80 cm |
12 | 09/08/2017 | 148.00 cm | 4.20 cm | 0.0532 cm/day | 95.00 cm |
13 | 20/09/2017 | 148.50 cm | 0.50 cm | 0.0119 cm/day | 95.50 cm |
14 | 12/12/2017 | 149.00 cm | 0.50 cm | 0.0060 cm/day | 96.00 cm |
15 | 26/03/2018 | 149.00 cm | 0.00 cm | 0.0000 cm/day | 96.00 cm |
Images from registries:
Project:
Donors:
Partners:


Partners:

