Family: Convolvulaceae
Scientific name: Ipomoea pes-caprae (L.) R. Br.
Common name: Beach morning Glory, railroad vine
Specific site: The Charles Darwin Foundation in Santa Cruz
Zone: Litoral
Substratum: Arenoso
Project: Restauración ecológica / Urban restoration
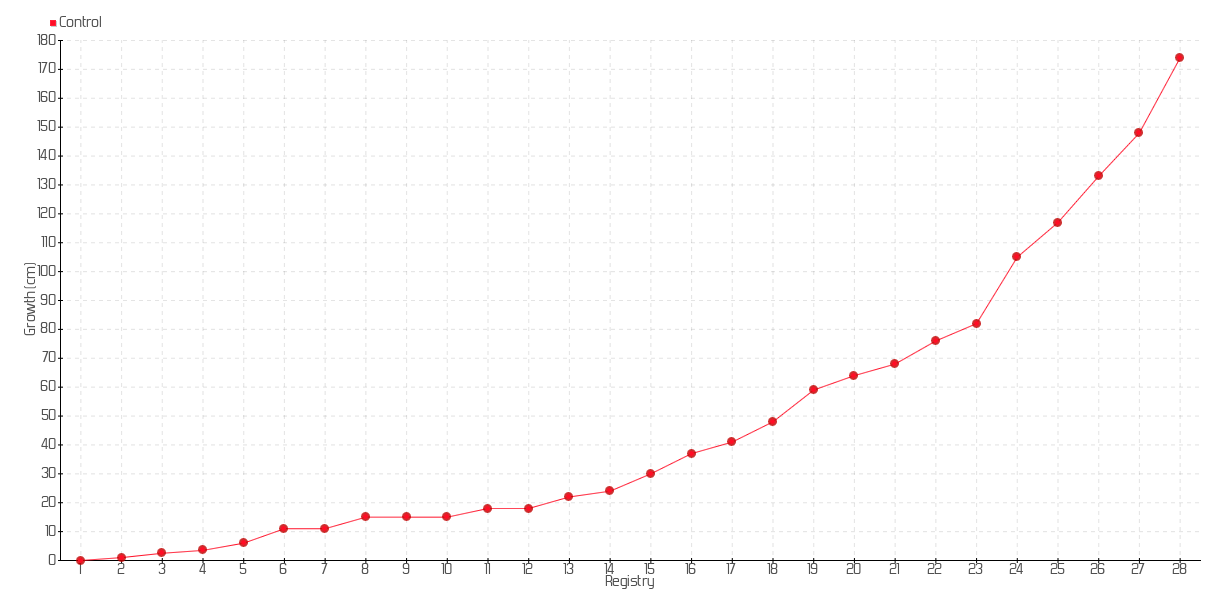
Treatment: Control
Date of sown: 17/06/2013



Plant location on the map
Registry results by Growth
Registries:
Registry | Date | Height | Growth | Growth rate | Total growth |
---|---|---|---|---|---|
1 | 17/06/2013 | 19.00 cm | 0.00 cm | 0.0000 cm/day | 0.00 cm |
2 | 24/06/2013 | 20.00 cm | 1.00 cm | 0.1429 cm/day | 1.00 cm |
3 | 01/07/2013 | 21.50 cm | 1.50 cm | 0.2143 cm/day | 2.50 cm |
4 | 08/07/2013 | 22.50 cm | 1.00 cm | 0.1429 cm/day | 3.50 cm |
5 | 15/07/2013 | 25.00 cm | 2.50 cm | 0.3571 cm/day | 6.00 cm |
6 | 22/07/2013 | 30.00 cm | 5.00 cm | 0.7143 cm/day | 11.00 cm |
7 | 29/07/2013 | 30.00 cm | 0.00 cm | 0.0000 cm/day | 11.00 cm |
8 | 05/08/2013 | 34.00 cm | 4.00 cm | 0.5714 cm/day | 15.00 cm |
9 | 12/08/2013 | 34.00 cm | 0.00 cm | 0.0000 cm/day | 15.00 cm |
10 | 19/08/2013 | 34.00 cm | 0.00 cm | 0.0000 cm/day | 15.00 cm |
11 | 26/08/2013 | 37.00 cm | 3.00 cm | 0.4286 cm/day | 18.00 cm |
12 | 02/09/2013 | 37.00 cm | 0.00 cm | 0.0000 cm/day | 18.00 cm |
13 | 09/09/2013 | 41.00 cm | 4.00 cm | 0.5714 cm/day | 22.00 cm |
14 | 16/09/2013 | 43.00 cm | 2.00 cm | 0.2857 cm/day | 24.00 cm |
15 | 23/09/2013 | 49.00 cm | 6.00 cm | 0.8571 cm/day | 30.00 cm |
16 | 30/09/2013 | 56.00 cm | 7.00 cm | 1.0000 cm/day | 37.00 cm |
17 | 07/10/2013 | 60.00 cm | 4.00 cm | 0.5714 cm/day | 41.00 cm |
18 | 14/10/2013 | 67.00 cm | 7.00 cm | 1.0000 cm/day | 48.00 cm |
19 | 21/10/2013 | 78.00 cm | 11.00 cm | 1.5714 cm/day | 59.00 cm |
20 | 28/10/2013 | 83.00 cm | 5.00 cm | 0.7143 cm/day | 64.00 cm |
21 | 04/11/2013 | 87.00 cm | 4.00 cm | 0.5714 cm/day | 68.00 cm |
22 | 11/11/2013 | 95.00 cm | 8.00 cm | 1.1429 cm/day | 76.00 cm |
23 | 18/11/2013 | 101.00 cm | 6.00 cm | 0.8571 cm/day | 82.00 cm |
24 | 25/11/2013 | 124.00 cm | 23.00 cm | 3.2857 cm/day | 105.00 cm |
25 | 02/12/2013 | 136.00 cm | 12.00 cm | 1.7143 cm/day | 117.00 cm |
26 | 09/12/2013 | 152.00 cm | 16.00 cm | 2.2857 cm/day | 133.00 cm |
27 | 16/12/2013 | 167.00 cm | 15.00 cm | 2.1429 cm/day | 148.00 cm |
28 | 07/01/2014 | 193.00 cm | 26.00 cm | 1.1818 cm/day | 174.00 cm |
Project:
Donors:
Partners:


Partners:

