Family: Euphorbiaceae
Scientific name: Croton scouleri var. scouleri Hook. f.
Common name: -
Specific site: Mario Piu Farm in Santa Cruz
Zone: Húmeda
Substratum: Humífero-rocoso
Project: Restauración ecológica / Rural restoration
Treatment: Control
Date of sown: 07/09/2018



Plant location on the map
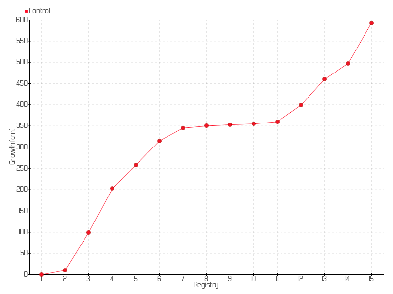
Registry results by Growth
Registries:
Registry | Date | Height | Growth | Growth rate | Total growth |
---|---|---|---|---|---|
1 | 07/09/2018 | 55.00 cm | 0.00 cm | 0.0000 cm/day | 0.00 cm |
2 | 13/12/2018 | 65.00 cm | 10.00 cm | 0.1031 cm/day | 10.00 cm |
3 | 15/03/2019 | 154.00 cm | 89.00 cm | 0.9674 cm/day | 99.00 cm |
4 | 09/07/2019 | 257.00 cm | 103.00 cm | 0.8879 cm/day | 202.00 cm |
5 | 25/09/2019 | 313.00 cm | 56.00 cm | 0.7179 cm/day | 258.00 cm |
6 | 12/02/2020 | 370.00 cm | 57.00 cm | 0.4071 cm/day | 315.00 cm |
7 | 07/05/2020 | 400.00 cm | 30.00 cm | 0.3529 cm/day | 345.00 cm |
8 | 30/10/2020 | 405.00 cm | 5.00 cm | 0.0284 cm/day | 350.00 cm |
9 | 31/12/2020 | 408.00 cm | 3.00 cm | 0.0484 cm/day | 353.00 cm |
10 | 20/05/2021 | 410.00 cm | 2.00 cm | 0.0143 cm/day | 355.00 cm |
11 | 10/09/2021 | 415.00 cm | 5.00 cm | 0.0442 cm/day | 360.00 cm |
12 | 03/12/2021 | 454.00 cm | 39.00 cm | 0.4643 cm/day | 399.00 cm |
13 | 28/04/2022 | 515.00 cm | 61.00 cm | 0.4178 cm/day | 460.00 cm |
14 | 12/01/2023 | 552.00 cm | 37.00 cm | 0.1429 cm/day | 497.00 cm |
15 | 18/10/2023 | 648.00 cm | 96.00 cm | 0.3441 cm/day | 593.00 cm |
Images from registries:
Project:
Donors:
Partners:


Partners:

